शासकीय संपत्ति का दुरूपयोग कर लगाए गए थे कटआउट-पोस्टर
23 मार्च 2024
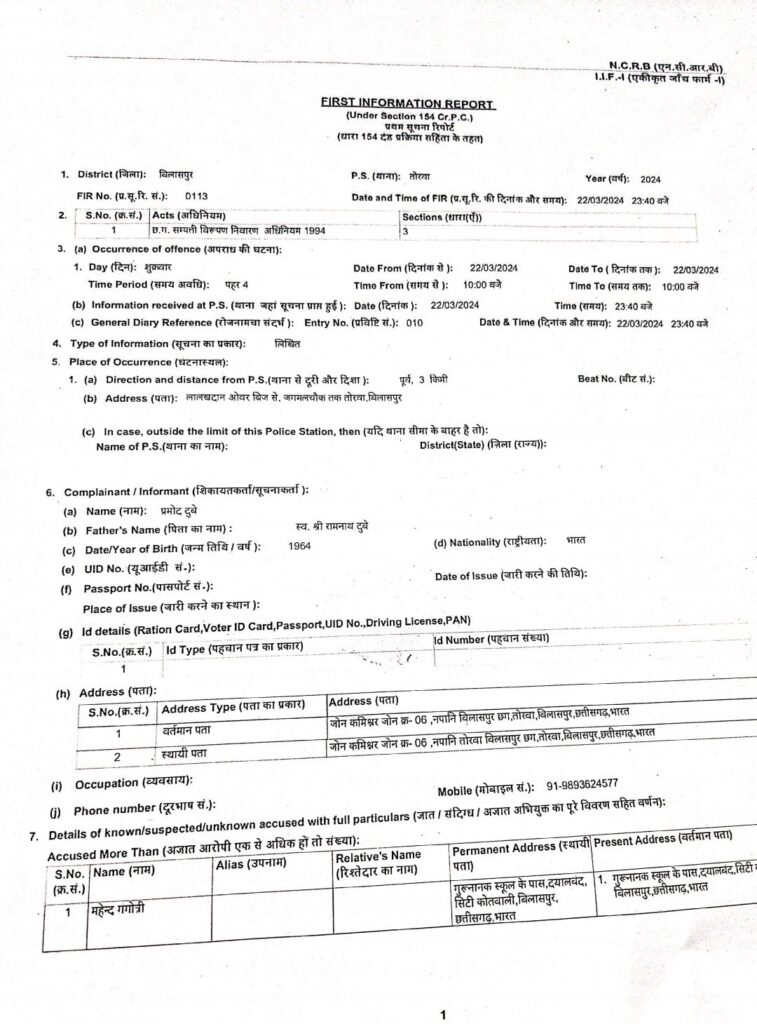
बिलासपुर-[जनहित न्यूज़] आचार संहिता के उल्लंघन के मामले में कांग्रेस प्रदेश महासचिव महेंद्र गंगोत्री के खिलाफ एफआईआर की गई है। सड़क के डिवाइडर में लगे पोल में उक्त नेता द्वारा कांग्रेस प्रदेश प्रभारी सचिन पायलट,प्रदेश कांग्रेस अध्यक्ष दीपक बैज समेत अन्य नेताओं की तस्वीरों के साथ कटआउट पोस्टर लगवाया गया था,जिसे निगम द्वारा हटाया गया। लोकसभा चुनाव के मद्देनजर लागू आदर्श आचार संहिता के उल्लंघन पर जिला निर्वाचन अधिकारी के निर्देश पर नगर निगम द्वारा तोरवा थाने में।

कांग्रेस प्रदेश महसचिव महेंद्र गंगोत्री के विरूद्ध आवेदन पर छ.ग.संपत्ति विरूपण निवारण अधिनियम की धारा 3 के तहत मामला दर्ज किया गया है।



